Mensajes clave
- La estrategia de la Unión Europea en materia de inteligencia artificial (IA) ha avanzado hacia una cuarta capa que contempla la IA como un catalizador directo de la competitividad gracias a iniciativas nuevas como el Plan de Acción Continente de IA, el mecanismo InvestAI y las factorías de IA, diseñadas para proporcionar infraestructuras, financiación y gobernanza.
- Una clasificación llevada a cabo por Horizonte Europa de la financiación y la inversión en capital riesgo en función del PIB muestra que los países del sur obtienen mejores resultados en cuanto a financiación pública asignada frente a inversión privada, lo que pone de manifiesto un desequilibrio estructural en sus ecosistemas de innovación.
- En el caso de los fondos de la Unión Europea diseñados para impulsar la comercialización, el reto principal consiste en aplicar criterios similares a los empleados por los inversores privados, como son la escalabilidad, la gobernanza y el potencial de mercado, de modo que la inversión pública tenga más posibilidades de atraer capital de riesgo para la innovación en IA. En los próximos ciclos de financiación, se podría conseguir mediante la integración de herramientas de distribución de riesgos, la implantación de criterios de preparación a la inversión y el fortalecimiento de las conexiones con los mercados de capital privado, sin dejar de proteger los objetivos públicos más amplios en materia de investigación pública.
- Las agrupaciones de innovación (clusters) pueden ser el puente que una la financiación pública y el capital privado al concentrar el talento, la transferencia de conocimientos y la innovación aplicada para que los ecosistemas regionales sean más visibles y atractivos de cara a la inversión.
Análisis
1. Introducción
La Unión Europea (UE) camina hacia una cuarta capa en su estrategia de IA que configura esa tecnología como un motor fundamental de la competitividad económica y la capacidad industrial. Este cambio queda reflejado en iniciativas como el Plan de Acción Continente de IA, el mecanismo de InvestAI y el despliegue de factorías de IA. Se considera que la IA es un sector de valor estratégico que requiere de una infraestructura, una financiación y una gobernanza específicas.
En este artículo se examinan distintas vías para que el programa de inversión pública sea más eficaz a la hora de aumentar la financiación privada en el sector europeo de la IA. Se presta especial atención a los casos de España, Portugal, Italia y Grecia, los cuatro países representados en la red PromethEUs de grupos de reflexión. Estos países muestran buenos resultados en cuanto a financiación pública destinada a la innovación en IA, pero les cuesta atraer capital privado. En el presente análisis se examina el respaldo que puede suponer la inversión pública para el desarrollo de los ecosistemas regionales de innovación, con especial hincapié en el papel de las agrupaciones.
2. Políticas de la UE para vincular la inteligencia artificial a la competitividad económica
La IA lleva siendo un elemento destacado de los debates y las negociaciones de la UE en materia de políticas desde 2018. Tras una fuerte apuesta inicial por un marco regulador (con la Ley de IA como fruto principal y el primer entorno de pruebas reglamentario en España como línea principal de aplicación), la Comisión Europea ha ido poniendo en marcha a lo largo de los años una serie de iniciativas normativas ajenas a la regulación para impulsar la IA como una “tecnología capacitadora” en sectores de alto impacto que pueden madurar gracias al despliegue y la integración técnica de los sistemas de IA.
Esta concepción de la IA como tecnología capacitadora quedó patente en primer lugar en el lanzamiento del Plan Coordinado sobre la IA de la Comisión Europea, publicado en 2018 y sometido a revisión en 2021. Su objetivo principal consiste en implantar una colaboración estructurada entre la Comisión y los Estados miembros para (i) acelerar las inversiones en tecnologías de IA que impulsen una recuperación económica y social sostenida mediante la adopción de nuevas soluciones digitales; (ii) elaborar estrategias y programas de IA y ejecutarlos de un modo adecuado para garantizar que la UE disfrute de las ventajas derivadas de esa actitud pionera; y (iii) armonizar la política en materia de IA para eliminar la fragmentación y sortear las dificultades presentes a nivel mundial.
Un análisis comparativo en profundidad, efectuado en 2022 (sin actualizar por el momento) sobre el modo en el que las estrategias nacionales de IA aplican políticas públicas concretas para poner en práctica el Plan Coordinado sobre la IA sacó a relucir las principales tendencias en cuanto a la integración de la IA como catalizador para fortalecer y madurar las políticas públicas nacionales en cuatro ámbitos normativos fundamentales:
- Condiciones propicias para el desarrollo y la adopción de la IA: todos los Estados miembros de la UE reconocían la importancia de los datos y las políticas de datos abiertos, en especial en el sector público. Cerca de 20 países habían propuesto espacios nacionales y marcos públicos en materia de datos. Algunos los habían integrado en sus estrategias nacionales de IA, pero 21 países habían puesto en marcha o pensaban poner en marcha estrategias o planes de acción nacionales específicos sobre datos. Para mejorar el procesamiento y las infraestructuras de datos, 20 países estaban trabajando también en políticas para la gestión de datos, muchos de ellos a través de infraestructuras centralizadas de ventanilla única, mientras que otros recurrían a plataformas descentralizadas multiinstitucionales.
- Hacer de la UE un lugar en el que la excelencia pase del laboratorio al mercado: se habían generalizado herramientas normativas como las asociaciones público-privadas, los centros de investigación, las instalaciones de experimentación y la financiación para empresas emergentes. La mitad de los países contaban con asociaciones público-privadas de alcance nacional; de ellos, la mitad presentaba una gobernanza centralizada, mientras que la otra mitad optaba por modelos descentralizados. Asimismo, varios países recurrían a asociaciones público-privadas bilaterales. Además, 12 países ya habían implantado centros de excelencia para la investigación en IA, y ocho más se habían comprometido a crearlos. De esos centros, 10 se centraban por completo en la IA, mientras que otros abarcaban diferentes campos relacionados como el internet de las cosas, la robótica y los megadatos. Casi todos los países estaban implantando bancos de pruebas e instalaciones de experimentación, y cerca de la mitad estaban desarrollando entornos de pruebas reglamentarios, a menudo en ámbitos como el transporte, la sanidad y la agricultura. Todos los Estados miembros apoyaban los centros de europeos de innovación digital y las instalaciones de ensayo y experimentación. Se recurría de forma generalizada a mecanismos de financiación directa como inversiones de lanzamiento, capital de riesgo y programas aceleradores para impulsar a las empresas emergentes.
- Garantizar que la IA trabaje para las personas y sea una fuerza positiva en el seno de la sociedad: todos los países se centraban en habilidades relacionadas con la IA, sobre todo en educación superior y reciclaje profesional, mientras que otros lo hacían también en educación preescolar. Se constataron medidas educativas con perspectiva de género, en su mayor parte en Europa occidental y septentrional. La mitad de los países estaban desarrollando procesos nacionales de normalización. Todas las estrategias promovían la confianza a través de políticas sobre captación de talento, concienciación ciudadana y apoyo para diálogos nacionales o internacionales.
- Generar liderazgo estratégico en sectores de alto impacto: la mayoría de los países daban prioridad a la sanidad, el clima o medio ambiente y el sector público, mientras que algunos incluían la educación y la industria manufacturera y unos pocos se centraban en la aplicación de la ley, los aspectos migratorios y el asilo. En concreto, 17 países contaban con políticas de sostenibilidad de la IA, en sintonía con la doble transición ecológica y digital de la UE.
Mientras que el primer paso para sacar partido de la IA en la UE se había dado en el ámbito reglamentario y la segunda capa había impulsado la colaboración entre los Estados miembros y la Comisión Europea para integrar la IA en las políticas públicas nacionales y en sectores de alto impacto, la tercera capa consistía en el fortalecimiento institucional. En concreto, la creación de la Oficina Europea de IA en febrero de 2024 dejó patente la necesidad de contar con una coordinación a través de una ventanilla única para todas las políticas de IA en el territorio de la UE, con un papel fundamental en la aplicación de la Ley de IA –en especial, para la IA de uso general–, la promoción del desarrollo y uso de IA confiable, y, por último, la cooperación internacional.
No obstante, las últimas novedades normativas de la Comisión Europea sacan a relucir una nueva cuarta capa, caracterizada por la urgencia de aprovechar la IA no sólo como una “tecnología capacitadora”, sino como una política pública en sí misma que se perciba como uno de los motores principales de la competitividad económica de la UE, el eje vertebrador de los próximos años para que la Unión pase a ser una región autónoma más estratégica con una mayor competitividad económica.
Tres elementos principales reflejan este paso adelante y este cambio de mentalidad:
- Mecanismos de financiación como la caja de herramientas para detectar brechas y necesidades de financiación en todos los sectores, para empresas de todos los tamaños y para el desarrollo puntero de IA: en febrero de 2025, la Comisión Europea presentó InvestAI, la iniciativa que aspira a movilizar hasta 200.000 millones de euros para consolidar la posición de la UE en el panorama mundial de la IA. El programa, anunciado por la presidenta de la Comisión, Ursula von der Leyen, durante la Cumbre para la Acción sobre la IA, pretende movilizar inversiones públicas y privadas para hacer avanzar la investigación, las infraestructuras y el despliegue de la IA en toda Europa.
Un elemento fundamental de InvestAI es la creación de un fondo de 20.000 millones de euros para constituir gigafactorías de IA. - Creación de factorías y gigafactorías de IA como herramienta para crear productos dentro de Europa: las factorías de IA, consideradas una prioridad estratégica, tienen como objetivo brindar acceso a poder de computación y aplicaciones y modelos punteros de IA a pequeñas y medianas empresas, universidades, centros de supercomputación, empresas emergentes, agentes financieros y la propia industria con sede en la UE. La iniciativa EuroHPC es la empresa conjunta responsable de proporcionar acceso al tiempo de computación y los servicios auxiliares ofrecidos por las factorías de IA de EuroHPC. El objetivo es garantizar que los usuarios europeos puedan beneficiarse de estas iniciativas. Además, el mecanismo InvestAI es el nuevo fondo europeo responsable de crear hasta cinco gigafactorías de IA.
Mientras que el objetivo de las factorías de IA consiste en dar acceso a poder de computación, las gigafactorías de IA son instalaciones a gran escala dedicadas al desarrollo y entrenamiento de los modelos de IA de nueva generación que incluyen billones de parámetros. Además de aportar poder de computación (aproximadamente 100.000 procesadores avanzados de IA), servirán para madurar la capacidad energética, la fiabilidad de las cadenas de suministro, la eficiencia energética, la automatización impulsada por IA y la creación de redes avanzadas.
Para mayo de 2025, ya se habían autorizado 13 factorías de IA en Alemania (2), Austria, Bulgaria, Eslovenia, España, Finlandia, Francia, Grecia, Italia, Luxemburgo, Polonia y Suecia. Existe un proceso para que los Estados miembros manifiesten su interés en las gigafactorías de IA que requeriría de una mayor inversión. La distribución de las factorías de IA por todo el territorio de la UE pone de relieve la necesidad de aprovechar la IA como motor de la competitividad económica en todos los países, con sus distintas realidades fiscales y su distinta fortaleza económica, y como impulso para la madurez de empresas de tamaños y sectores diferentes. - Plan de Acción Continente de IA como marco estratégico general: el Plan de Acción Continente de IA, que vio la luz en abril de 2025, es el principal documento estratégico que plantea propuestas normativas tangibles para que la IA no sea una tecnología capacitadora sin más, sino que sirva de catalizador para (i) la competitividad y la productividad y (ii) la soberanía, la seguridad y la democracia.
Con ese fin, el documento establece cinco líneas de trabajo principales:
a. Infraestructura de computación: propicia el desarrollo de factorías de IA (con un presupuesto de 10.000 millones de euros en el periodo 2021-2027 y un mínimo de 13 factorías de IA operativas para 2026), gigafactorías de IA (cuatro veces más potentes que las factorías de IA, con 20.000 millones de euros movilizados por InvestAI para implantar hasta cinco gigafactorías) y la elaboración de la Ley de desarrollo de la computación en la nube y la inteligencia artificial (cuyo objetivo consiste en triplicar la capacidad de los centros de datos de la UE en los próximos 5-7 años).
b. Datos: el objetivo es crear “laboratorios de datos” en las factorías de IA; ante el lanzamiento previsto de una estrategia de datos de la UE, el documento reafirma la necesidad de mejorar el acceso de empresas y administraciones a los datos y de simplificar la reglamentación en ese ámbito.
c. Simplificación de normas: el objetivo es granjearse la confianza de la ciudadanía y aportar seguridad legal a través de la Ley de IA, poner en marcha el servicio de asistencia de la Ley de IA y proporcionar asesoramiento e instrumentos gratuitos y personalizados a las empresas.
d. Capacidades: este pilar sirve para ofrecer becas de IA, dar un espaldarazo a la Academia de Capacidades en IA, poner en marcha un grado experimental centrado en la IA generativa y respaldar el reciclaje profesional mediante los centros europeos de innovación digital.
e. Desarrollo y adopción de algoritmos: mediante la estrategia de uso de la IA, aspira a acelerar la adopción de la misma en sectores estratégicos.
En ese sentido, el Plan de Acción Continente de IA propone varios productos diferentes que serán objeto de desarrollo propio: la estrategia de uso de la IA, la puesta en marcha del servicio de asistencia de la Ley de IA, la estrategia de datos de la UE y la Ley de desarrollo de la computación en la nube y la inteligencia artificial.
En conclusión, la evolución de la gobernanza de la IA en la UE se ha desarrollado conforme a cuatro capas estratégicas: bases reglamentarias iniciales con la Ley de IA, refuerzo de la colaboración entre los Estados miembros y la Comisión Europea para integrar la IA entre las prioridades nacionales, consolidación institucional con la creación de la Oficina Europea de IA en 2024 para coordinar las actividades de aplicación y conformidad y, ahora, una cuarta fase prospectiva centrada en canalizar inversiones hacia la IA como motor de la competitividad económica y la autonomía estratégica. En última instancia, el incremento de la inversión privada en la IA europea será el indicador de éxito más palpable de esta estrategia.
En ese contexto, el papel de los Estados miembros resulta esencial: son los principales ejecutores de las aspiraciones de toda la UE al trasladar los marcos generales a políticas, inversiones e infraestructuras tangibles a nivel nacional. Su compromiso garantiza la coherencia de las estrategias de la UE a escala transfronteriza y su adecuación a las necesidades y capacidades locales. Para hacer realidad la visión de futuro de la UE de una IA fiable y autónoma con un impacto positivo en la economía, hay que contar con una implicación proactiva a través de las estrategias nacionales de IA, los entornos de pruebas reglamentarios, las asociaciones público-privadas y las inversiones en datos y talento. Su actividad normativa actúa de puente entre los objetivos generales para toda la UE y los resultados visibles en el mundo real, por lo que se trata de agentes indispensables para estos programas de transformación. Más en concreto, las necesidades específicas y las realidades normativas de los países del sur de Europa merecen ser analizadas en mayor profundidad, tal y como haremos a continuación.
3. Panorama de la inversión pública en IA
La UE ha hecho de la IA una prioridad política central de sus programas de financiación. Horizonte Europa es el principal programa de investigación y desarrollo de la UE, con un periodo de vigencia de 2021 a 2027 y un presupuesto total de 95.500 millones de euros. La IA recibe más de 1.000 millones de euros al año a través de este programa y del Programa Europa Digital. En 2025, se destinaron más de 1.600 millones de euros a actividades relacionadas con IA.
El Banco Europeo de Inversiones (BEI) ha puesto en marcha un mecanismo paralelo que aporta 150 millones de euros en inversión conjunta para empresas de IA en su fase inicial de desarrollo. Los fondos se utilizan junto con los gestionados por el Fondo Europeo de Inversiones. El objetivo es apoyar a empresas que desarrollen soluciones de IA y deban hacer frente a brechas de financiación entre las subvenciones de su fase inicial y el capital correspondiente a fases más avanzadas.
Estos programas contribuyen a la consecución de un amplio abanico de objetivos. Financian investigaciones básicas, infraestructuras y tecnologías aplicadas, además de respaldar la innovación en ámbitos de interés estratégico. Horizonte Europa incluye proyectos tanto de índole científica como orientados a la comercialización. No toda la investigación financiada por la UE tiene como objetivo expandirse o atraer capital privado. Sin embargo, un porcentaje de la financiación pública sí se destina a innovaciones con potencial de comercialización y, para esos proyectos, resulta esencial contar con la capacidad de atraer inversiones posteriores. Sin ellas, las ayudas públicas podrían tener una repercusión más bien limitada.
La financiación pública cumple una función más general en el marco de un sistema de innovación. Sirve para reducir el riesgo, abre nuevos campos de investigación y acelera el desarrollo inicial. En algunos casos, también impulsa infraestructuras, expansiones e incluso salidas al mercado. La economista Mariana Mazzucato defiende que el Estado debe actuar como un agente configurador del mercado. La inversión pública debe aspirar a subsanar las carencias del mercado al tiempo que crea mercados en los que la innovación pueda medrar.
En los debates sobre políticas, se suele describir la financiación pública como una herramienta para la innovación en su fase inicial que ayuda a las empresas emergentes a pasar de los conceptos a los prototipos. Sin embargo, en Europa, la financiación pública también cumple una función importante en las fases de desarrollo posteriores, entre ellas el lanzamiento comercial y la expansión. La arquitectura de financiación de la UE, a través de Horizonte Europa, el Consejo Europeo de Innovación (EIC), el Consejo Europeo de Investigación (CEI) y el Instituto Europeo de Innovación y Tecnología (EIT), presta apoyo a empresas emergentes de tecnología profunda en todos los niveles de madurez tecnológica (NMT), desde la investigación inicial a la salida al mercado y el crecimiento como empresa.
Figura 1. Instrumentos de financiación pública de la UE para start-ups de tecnología (profunda) en todos los niveles de madurez tecnológica

- En la fase de investigación (NMT 1 a 3), el CEI destina en torno a 2.500 millones de euros al año y ofrece subvenciones de hasta 10 millones. El Explorador del EIC aporta otros 262 millones al año para proyectos en los NMT 1 a 4, con subvenciones de hasta cuatro millones de euros.
- En la fase de prototipo (NMT 4 a 5), en la que se somete a pruebas en entornos reales a las distintas tecnologías, las actividades de transición del EIC aportan 98 millones al año, con subvenciones de hasta 2,5 millones de euros. Eurostars, un programa conjunto con los organismos nacionales, contribuye con 250 millones al año para los NMT 4 a 6, con subvenciones que varían en función del país. El EIT se activa entre los NMT 4 a 9 y añade en torno a 430 millones de euros anuales en función del programa.
- Para empresas emergentes en fase de preparación para salir al mercado (NMT 6 a 7), el Acelerador del EIC aporta 634 millones al año, combinando subvenciones (de hasta 2,5 millones) con inversiones de capital de entre 500.000 euros y 10 millones de euros.
- En la fase de crecimiento (NMT 8 a 9), en la que las empresas expanden su actividad y comercializan sus productos, el programa STEP del EIC destina 300 millones al año a ofrecer inversiones de capital de entre 10 y 30 millones de euros. El EIT sigue proporcionando ayudas durante esta fase.
Toda esta estrategia de financiación pone de manifiesto que la inversión pública de la UE abarca todos los niveles de madurez tecnológica. El reto actual consiste en asegurarse de que esas inversiones públicas propicien una movilización suficiente de capital privado, en especial en países en los que la financiación de riesgo siga siendo escasa. La capacidad para incrementar la inversión privada en start-ups europeas de IA será el baremo del éxito del enfoque estratégico de la UE para la inteligencia artificial.
Otra presunción común es que los países del sur canalizan la financiación de la UE principalmente hacia grandes instituciones como universidades o centros públicos de investigación. Según esta idea preconcebida, las empresas emergentes de estos países aún no estarían preparadas para recibir ayudas directas. Sin embargo, las cifras de Horizonte Europa apuntan en dirección contraria. En promedio, el 21,74% de las subvenciones de Horizonte Europa van a start-ups procedentes de todos los Estados miembros de la UE, según datos de la Comisión Europea. En Portugal (20,02%), España (20,91%) e Italia (19,20%), las cifras se acercan a la media europea. Por lo que respecta a Grecia, el porcentaje es bastante mayor, en concreto del 29,37%. Estos datos demuestran que la financiación de Horizonte Europa en los Estados miembros del sur no se reserva únicamente a los grandes protagonistas del ramo que se encargan de construir infraestructuras. Las empresas emergentes de los países del sur ya se benefician de ayudas directas a un nivel comparable o superior al de la media europea. Este dato apunta a que el problema podría estar en que los mecanismos de financiación de la UE no siempre se integran en los sistemas que impulsan la escala y expansión.
4. La asimetría del sur: abundancia de financiación pública, escasez de capital privado
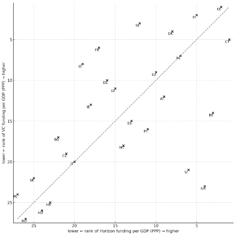
Cuando se clasifica a los Estados miembros de la UE en función de la financiación de Horizonte Europa frente al PIB y conforme a la inversión en capital riesgo frente al PIB, la mayoría de los países del sur de Europa quedan por debajo de la diagonal, lo que indica un mejor desempeño a la hora de garantizar fondos públicos de la UE que de atraer capital privado. Grecia registra el desequilibrio más pronunciado: se sitúa entre los países con más financiación procedente de Horizonte Europa, pero está prácticamente a la cola en cuanto a inversiones de capital riesgo. España y Portugal aparecen en posiciones intermedias, pero, en ambos casos, su posición por financiación pública está por encima de la correspondiente a los fondos privados. Italia destaca como excepción, puesto que presenta un nivel similar para los fondos de Horizonte Europa y el capital de riesgo recibido.
En 2023, España recibió el 5,7% de la financiación total de capital riesgo de la UE, Italia el 3,7%, Portugal el 0,5% y Grecia el 0,4%, mientras que casi la mitad se concentró en Francia y Alemania, tal y como queda de manifiesto en el informe “AI Europe” de Dealroom sobre start-ups y capital de riesgo en la carrera por la IA.
Figura 2. Intensidad de la inversión pública vs. inversión privada en innovación para IA (Estados miembros de la UE)

En vista de esta pauta, se plantea la cuestión de cómo estructurar mejor las ayudas públicas para incrementar la posibilidad de atraer inversiones privadas posteriores. Para proyectos con potencial de mercado, esta disparidad ya apunta hacia el margen de evolución en el diseño y la asignación de la financiación pública.
Una opción consiste en introducir una distinción más explícita en los instrumentos de financiación de la UE entre los fondos para investigación destinados a generar conocimientos y los fondos asignados a transferencia de tecnología. De ese modo, las instituciones podrían fijar objetivos internos para la proporción de proyectos con previsión de derivar en aplicaciones comerciales, licencias o crecimiento de empresas emergentes.
Al diseñar la financiación atendiendo a esta distinción, se impulsaría la aparición de proyectos que cumplan al mismo tiempo con los criterios científicos y los criterios de inversión. Asimismo, serviría para atajar las asimetrías actuales, sobre todo en regiones con abundante financiación pública y escaso capital de riesgo. En ese sentido, los próximos ciclos de financiación podrían integrar herramientas de distribución de riesgos, criterios de preparación a la inversión y conexiones más sólidas con los mercados de capital privado, sin afectar a los objetivos públicos más amplios en materia de investigación pública.
Si aceptamos la presencia de la financiación pública en todo el ciclo de innovación, el reto estará en su estructura y en cómo conseguir que sirva de catalizador en algunos ecosistemas más específicos.
5. Ecosistemas: la capa invisible de la infraestructura
Para que la inversión pública en IA sea más eficaz a la hora de atraer capital de riesgo, es necesario seguir invirtiendo en infraestructura, en el sentido más amplio posible del término. Las definiciones tradicionales suelen centrarse en recursos físicos como la capacidad de computación, el almacenamiento de datos y los centros de investigación y, si bien se trata de prácticas de suma importancia, la innovación también depende de elementos menos tangibles: la transferencia de conocimientos, la coordinación institucional y redes que faciliten la colaboración entre sectores.
Las agrupaciones o clusters de innovación reúnen a empresas, universidades, inversores y organismos públicos en un espacio compartido (puede ser geográfico, pero también temático). Impulsan la colaboración entre organizaciones y reducen la fragmentación que suele limitar la difusión de conocimientos y tecnologías. Cuando hacen gala de una buena iniciativa y están bien estructuradas, dotan de una mayor visibilidad a las empresas en fases iniciales, mejoran el acceso al talento y aprovechan mejor la infraestructura compartida. Crean oportunidades de aprendizaje y experimentación entre pares, refuerzan la transferencia de tecnologías y generan un lenguaje común en torno a las prioridades en innovación. Esta coordinación facilita que el capital público y privado sepa dónde repartirse. En ese sentido, las agrupaciones son los espacios en los que la infraestructura pasa a ser una inversión válida, ya que concentran el talento, la coordinación y el conocimiento aplicado de modo que se reduce el riesgo, se acelera la experimentación y se aportan las condiciones para que actores públicos y privados vean valor en participar.
Estas agrupaciones son de especial importancia en el sector de la IA, ya que ayudan a trasladar los objetivos estratégicos de la UE a proyectos ejecutables a nivel regional. Además, facilitan el encuentro entre proveedores de tecnología, usuarios industriales e instituciones públicas que, de otro modo, no habrían aunado fuerzas.
En los países del sur de Europa, que presentan buenos resultados en cuanto a financiación pública, pero no tanto en financiación privada, las agrupaciones son más pertinentes si cabe. Ayudan a generar la capacidad institucional y las redes de confianza en las que se suelen fijar los inversores privados antes de asignar fondos. Sin embargo, según el Foro Económico Mundial, algunos de estos países van por detrás de los países europeos del norte en cuanto a la solidez general de sus ecosistemas de agrupaciones: Grecia se sitúa en el 26º puesto de los 27 Estados miembros de la UE; Portugal aparece en 19º lugar; España e Italia salen mejor paradas, en 12ª y 7ª posición respectivamente.
Recomendaciones normativas
1. Destinar recursos a toda la “cadena de valor de la IA”
Las inversiones en IA deben canalizarse a lo largo y ancho de la cadena de valor: desde la fase de diseño de la IA a la construcción de espacios industriales que ayuden a implantar la IA en sistemas de hardware, pasando por las infraestructuras que habiliten el fortalecimiento del poder de computación (tal y como hacen las factorías de IA al dar acceso a pymes y start-ups a ese poder de computación con vistas a mejorar sus sistemas de IA).
Las políticas públicas, los criterios de selección y los puntos de evaluación deberían orientarse a ayudar a una empresa concreta a acceder a la financiación pública desde la fase inicial de desarrollo de la IA (es decir, el diseño) hasta la última fase posible (es decir, la comercialización y el despliegue). Se garantizaría así que la empresa resulte atractiva para recibir financiación pública y que cumpla con unos criterios de selección que les exigen permanecer en territorio de la UE.
2. Garantizar que la IA pase a ser un tema transversal que permee los distintos pilares del nuevo Fondo de Competitividad que se propondrá dentro del próximo marco financiero plurianual para el periodo 2028-2034
El objetivo del Fondo de Competitividad, tal y como apareció planteado en la Brújula para la Competitividad en enero de 2025, consiste en desarrollar tecnologías estratégicas y fabricarlas en Europa mediante la creación de un fondo europeo de competitividad que preste apoyo también a los proyectos importantes de interés común europeo. Si el Fondo de Competitividad aspira a invertir en tecnologías vitales de doble uso que incrementen la autonomía estratégica, la IA tiene que desempeñar un papel esencial: no sólo como “tecnología capacitadora” para los sectores, sino invirtiendo directamente en el desarrollo real de la IA desde el punto de vista técnico y sin centrarse en sectores específicos, de modo que la evolución técnica de la IA se pueda trasladar a cualquier sector con independencia del contexto político.
3. Aumentar la transparencia y el grado de detalle de los datos sobre inversión pública en IA
Los datos empleados en el presente documento ponen de relieve algunas pautas fundamentales, pero no dejan de ser indicativos. En algunos casos, las cifras hacen referencia a inversiones generales de Horizonte Europa; en otros, responden en concreto a actividades relacionadas con IA. Esta falta de coherencia limita la posibilidad de que investigadores, inversores y responsables políticos analicen con precisión el panorama de la innovación en IA.
Para ayudar a que la toma de decisiones esté basada en datos empíricos, la Comisión Europea debe garantizar la publicación de datos desglosados, actualizados y específicos sobre IA. Los cuadros de mando públicos deben distinguir con claridad entre flujos de financiación para IA y actividades de otra índole, aportar detalles sobre los beneficiarios (por ejemplo, empresas emergentes, universidades, consorcios) y permitir el seguimiento en tiempo real de asignaciones y desembolsos. De ese modo, se incrementaría la usabilidad de los datos con fines de análisis de mercado, mientras que la financiación pública podría responder mejor a las necesidades del ecosistema.
4. Dar prioridad al fortalecimiento de las agrupaciones en la financiación pública destinada a IA
La financiación de Horizonte Europa debería seguir viendo el desarrollo de las agrupaciones como un objetivo estratégico. Las convocatorias de propuestas deberían fomentar los consorcios regionales y destinar recursos a proyectos que promuevan los ecosistemas locales. La infraestructura compartida como las factorías de IA debe quedar integrada en las redes regionales de innovación, con normas de acceso claras para pymes y socios académicos.
5. Aplicar normas propias del capital de riesgo a la financiación pública para la IA orientada a la comercialización
La financiación pública destinada a la comercialización de IA debería ser objeto de una lógica de inversión más diáfana. No toda la inversión pública debe ser viable desde el punto de vista comercial, pero la destinada a respaldar soluciones listas para su acceso al mercado debe incorporar mecanismos que repliquen las prácticas de la inversión privada.
Entre ellas, seguir procedimientos de diligencia debida similares a los empleados por las empresas de capital riesgo y valorar la escalabilidad, la gobernanza y el potencial de mercado de los proyectos impulsados. En todas las fases, el dinero público debería invertirse junto a capital privado, ya sea a través de instrumentos financieros combinados o la inversión escalonada del capital.
(*) Traducción al español y adaptación del capítulo original en inglés incluido en la publicación semestral conjunta de la red PromethEUs “Simplify to Compete: Rethinking EU Regulation for a Digital Future”, publicada el 2 de julio de 2025. PromethEUs reúne a cuatro grupos de expertos de países del sur de la UE: I-Com, Institute for Competitiveness (Italia), IPP Lisbon (Portugal), el Laboratorio de Economía Industrial y Energética de la Universidad Técnica Nacional de Atenas (Grecia) y el Real Instituto Elcano (España). Cada socio elabora uno de los capítulos de esta publicación conjunta.

